back
Go to home
search
ホーム
検索
ガイド
Search OpenChats or messages
Open search area
Back
search area
search
Close search area
スマホ版LINEで見る
このQRコードをスキャンして、スマートフォン版LINEでオープンチャットを使ってみましょう。
ホーム
検索
ガイド
中学数学を教える会
メンバー 2
ノート 0
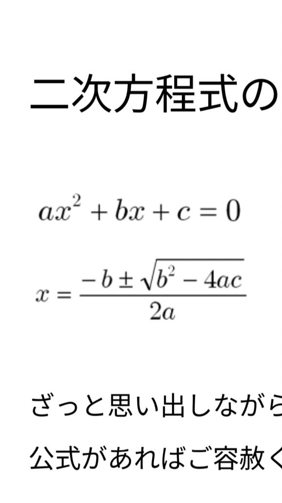
主も中学生なので気軽に入って質問してみてください!苦手克服しましょう! #勉強#数学#中学
open desc text
LINEで開く
LINEアプリをダウンロード
その他にもいろんなオープンチャットがもりだくさん
もっと見る